Understanding Pseudo-Recursive Sequences

V.Orbital 67 views
Understanding Pseudo-Recursive Sequences

Understanding Pseudo-Recursive Sequences

Are you ready to dive into the fascinating world of pseudo-recursive sequences ? Pseudo-recursive sequences might sound like a mouthful, but fear not! We’re going to break down what they are, how they work, and why they’re super interesting. So, buckle up, grab a coffee, and let’s get started!

What are Pseudo-Recursive Sequences?

At its heart, a pseudo-recursive sequence is a sequence of numbers where each term is defined based on previous terms, but with a twist! Unlike traditional recursive sequences, pseudo-recursive sequences introduce some non-recursive elements or conditions that make them behave in unique ways. Think of it as a recursive sequence with a little bit of rebellion.

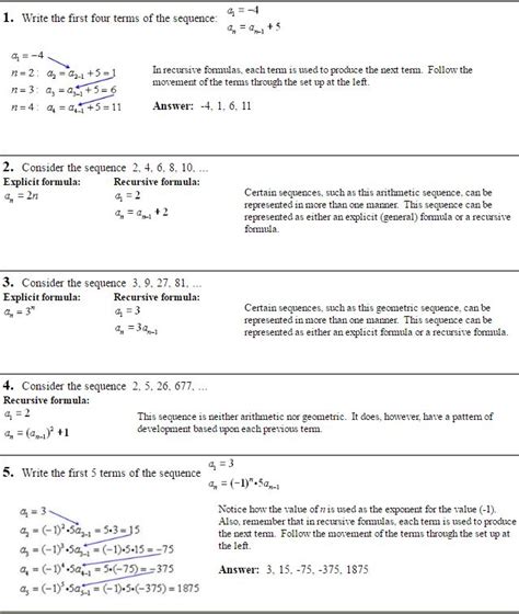
The most basic form of a recursive sequence usually involves a formula that directly references preceding terms to generate the next one. For example, the Fibonacci sequence (0, 1, 1, 2, 3, 5, 8, …) is a classic recursive sequence where each term is the sum of the two preceding terms. Mathematically, it can be represented as F(n) = F(n-1) + F(n-2), with initial conditions F(0) = 0 and F(1) = 1. However, a pseudo-recursive sequence might include extra operations or conditions that deviate from this direct dependency. This could involve adding a constant, applying a function, or even incorporating terms from another sequence.

For instance, imagine a sequence where each term is the sum of the two preceding terms, but every third term is multiplied by 2. This introduces a non-recursive condition that changes the sequence’s behavior compared to a standard Fibonacci sequence. Another example might involve a sequence where the formula changes based on whether the term’s index is even or odd. These kinds of modifications are what give pseudo-recursive sequences their distinctive properties and make them more complex and interesting to study. They often appear in various computational and mathematical contexts, providing unique challenges and insights.

Understanding pseudo-recursive sequences requires a solid grasp of both recursive functions and conditional logic. By exploring these sequences, mathematicians and computer scientists can model complex systems and behaviors that are not easily captured by traditional recursive models. From generating unique patterns in computer graphics to simulating complex physical phenomena, pseudo-recursive sequences offer a powerful tool for understanding and creating intricate systems. So, whether you’re a seasoned mathematician or just curious about the wonders of sequences, diving into pseudo-recursive sequences is sure to offer some exciting discoveries.

Key Characteristics of Pseudo-Recursive Sequences

When we talk about pseudo-recursive sequences , it’s important to nail down what makes them tick. These sequences aren’t your run-of-the-mill recursive patterns; they’ve got some extra oomph that sets them apart. So, what are the key characteristics that define them? Let’s break it down.

First and foremost, pseudo-recursive sequences always have a recursive component. This means that at least part of the sequence is defined based on its previous terms. Without this recursion, it’s just a regular sequence. The magic happens when we start layering on additional rules and conditions. These sequences are partially built upon their history, so understanding the recursive backbone is crucial.

Next up, we’ve got the non-recursive elements . This is where things get interesting. These elements introduce modifications or conditions that aren’t directly dependent on the preceding terms. This could be anything from adding a constant value at certain intervals to applying a completely different function based on some external criteria. For example, a sequence might follow a recursive rule most of the time, but every fifth term could be set to a predefined value or calculated using a different formula altogether. These non-recursive elements are what give pseudo-recursive sequences their unique flavor and make them deviate from standard recursive behavior.

Conditional logic also plays a massive role. The rules governing a pseudo-recursive sequence often change based on certain conditions. These conditions can be based on the index of the term (e.g., even or odd positions), the value of the term itself, or even external factors. For instance, a sequence might use one recursive formula for even-indexed terms and another for odd-indexed terms. Alternatively, a condition might state that if a term exceeds a certain threshold, a different calculation method is used. This conditional aspect adds a layer of complexity and allows pseudo-recursive sequences to model more intricate patterns and behaviors.

Another important aspect is the initial conditions . Like any recursive sequence, pseudo-recursive sequences require initial values to get started. These initial conditions serve as the seed from which the rest of the sequence grows. The choice of initial conditions can significantly impact the behavior of the sequence, especially when combined with the recursive and non-recursive elements. For example, changing the first few terms of a pseudo-recursive sequence can lead to drastically different outcomes as the sequence progresses.

Lastly, pseudo-recursive sequences often exhibit complex behavior . Due to the combination of recursive and non-recursive elements, these sequences can produce patterns that are difficult to predict or analyze. They might oscillate, converge, diverge, or exhibit chaotic behavior depending on the specific rules and conditions in place. This complexity makes them useful for modeling real-world phenomena that don’t follow simple, predictable patterns. In summary, the key characteristics of pseudo-recursive sequences include a recursive base, non-recursive elements, conditional logic, crucial initial conditions, and potentially complex behavior. These elements work together to create sequences that are both fascinating and challenging to study.

Examples of Pseudo-Recursive Sequences

Alright, let’s make this even clearer with some concrete examples. Understanding pseudo-recursive sequences is much easier when you can see them in action. So, we’re going to walk through a few examples that showcase the variety and flexibility of these sequences. Let’s get started!

Example 1: Modified Fibonacci Sequence

First up, let’s tweak the classic Fibonacci sequence. Remember, in the Fibonacci sequence, each term is the sum of the two preceding terms: F(n) = F(n-1) + F(n-2), with F(0) = 0 and F(1) = 1. Now, let’s make it pseudo-recursive by adding a twist: every third term is multiplied by 2.

So, our new sequence, let’s call it G(n), will be defined as follows:

  • G(0) = 0
  • G(1) = 1
  • G(n) = G(n-1) + G(n-2) if n is not a multiple of 3
  • G(n) = 2 * (G(n-1) + G(n-2)) if n is a multiple of 3

Let’s calculate the first few terms to see how it looks:

  • G(0) = 0
  • G(1) = 1
  • G(2) = G(1) + G(0) = 1 + 0 = 1
  • G(3) = 2 * (G(2) + G(1)) = 2 * (1 + 1) = 4
  • G(4) = G(3) + G(2) = 4 + 1 = 5
  • G(5) = G(4) + G(3) = 5 + 4 = 9
  • G(6) = 2 * (G(5) + G(4)) = 2 * (9 + 5) = 28

So, the sequence starts: 0, 1, 1, 4, 5, 9, 28, … Notice how the terms that are multiples of 3 (G(3) and G(6)) are significantly larger due to the multiplication by 2. This simple modification turns the familiar Fibonacci sequence into a pseudo-recursive sequence with altered behavior.

Example 2: Conditional Sequence

For our second example, let’s create a sequence where the recursive rule changes based on whether the index is even or odd. Let’s call this sequence H(n) and define it as follows:

  • H(0) = 1
  • H(1) = 2
  • H(n) = H(n-1) + n if n is even
  • H(n) = H(n-1) * n if n is odd

Here’s how the first few terms play out:

  • H(0) = 1
  • H(1) = 2
  • H(2) = H(1) + 2 = 2 + 2 = 4
  • H(3) = H(2) * 3 = 4 * 3 = 12
  • H(4) = H(3) + 4 = 12 + 4 = 16
  • H(5) = H(4) * 5 = 16 * 5 = 80
  • H(6) = H(5) + 6 = 80 + 6 = 86

So, the sequence begins: 1, 2, 4, 12, 16, 80, 86, … As you can see, the sequence alternates between addition and multiplication based on the index. This conditional rule adds a dynamic element, making it a perfect example of a pseudo-recursive sequence .

Example 3: Sequence with an External Factor

Finally, let’s consider a sequence that incorporates an external factor. Suppose we have a sequence I(n) where each term depends on the preceding term and an external sequence J(n) = n^2.

Define I(n) as follows:

  • I(0) = 1
  • I(n) = I(n-1) + J(n)

In this case, J(n) = n^2 = {0, 1, 4, 9, 16, 25, …}. Let’s calculate the first few terms of I(n):

  • I(0) = 1
  • I(1) = I(0) + J(1) = 1 + 1 = 2
  • I(2) = I(1) + J(2) = 2 + 4 = 6
  • I(3) = I(2) + J(3) = 6 + 9 = 15
  • I(4) = I(3) + J(4) = 15 + 16 = 31
  • I(5) = I(4) + J(5) = 31 + 25 = 56

Thus, the sequence starts: 1, 2, 6, 15, 31, 56, … Here, the external sequence J(n) influences the growth of I(n), making it a pseudo-recursive sequence . These examples should give you a solid understanding of what pseudo-recursive sequences are all about. Each one combines recursion with additional rules or conditions, creating unique and interesting patterns. Keep exploring, and you’ll discover even more fascinating variations!

Applications of Pseudo-Recursive Sequences

Now that we’ve got a solid grasp on what pseudo-recursive sequences are and how they work, let’s explore why they matter. These sequences aren’t just abstract mathematical concepts; they have real-world applications in various fields. So, where do pseudo-recursive sequences show up, and why are they useful? Let’s dive in!

Computer Science

In computer science, pseudo-recursive sequences are incredibly useful for algorithm design and analysis. Many algorithms use recursive techniques, and introducing non-recursive elements can optimize performance or model complex behaviors. For example, in dynamic programming, pseudo-recursive sequences can help break down problems into subproblems and store intermediate results. This approach is used in a variety of applications, such as calculating optimal paths in graphs, solving sequence alignment problems in bioinformatics, and optimizing resource allocation.

Furthermore, pseudo-recursive sequences can be used in generating pseudo-random numbers. While true randomness is hard to achieve, algorithms can produce sequences that appear random for practical purposes. By combining recursive formulas with non-linear transformations or conditional logic, these algorithms can create sequences with good statistical properties, making them suitable for simulations, cryptography, and other applications where randomness is needed.

Physics and Engineering

Pseudo-recursive sequences also find applications in modeling physical systems. Many physical phenomena involve feedback loops and non-linear interactions, which can be represented using these sequences. For instance, in electrical engineering, the behavior of digital filters can be described using recursive equations, and adding non-recursive elements can improve their performance or stability. Similarly, in control systems, pseudo-recursive sequences can be used to design controllers that adapt to changing conditions or optimize system performance over time.

In physics, pseudo-recursive sequences can be used to model complex systems like weather patterns or fluid dynamics. These systems often exhibit chaotic behavior, which can be captured by combining recursive relationships with non-linear terms or external factors. By studying these sequences, physicists can gain insights into the underlying dynamics of these systems and make more accurate predictions.

Finance and Economics

In the world of finance, pseudo-recursive sequences can be used to model economic trends and market behavior. For example, stock prices or interest rates can be modeled as sequences that depend on past values and external factors like economic indicators or policy decisions. By incorporating non-recursive elements, these models can capture the effects of sudden shocks or changes in market sentiment.

Furthermore, pseudo-recursive sequences can be used in risk management. By modeling potential scenarios using these sequences, financial institutions can assess the likelihood of different outcomes and develop strategies to mitigate risk. For instance, these sequences can be used to simulate the behavior of portfolios under different market conditions or to estimate the potential losses from credit defaults.

Art and Music

Even in creative fields like art and music, pseudo-recursive sequences can be used to generate interesting patterns and structures. In computer-generated art, these sequences can be used to create intricate designs and textures. By combining recursive formulas with random elements or conditional rules, artists can create visually appealing patterns that evolve over time.

In music, pseudo-recursive sequences can be used to compose melodies or rhythms. By mapping the terms of a sequence to musical notes or durations, composers can create pieces that have a sense of structure and coherence. Adding non-recursive elements can introduce variations and surprises, making the music more engaging and dynamic. In summary, pseudo-recursive sequences have a wide range of applications across various fields, from computer science and engineering to finance and art. Their ability to model complex behaviors and generate interesting patterns makes them a valuable tool for researchers and practitioners alike.

Conclusion

So, there you have it! Pseudo-recursive sequences are a fascinating blend of recursion and non-recursive elements, creating sequences with unique properties and diverse applications. Whether you’re a mathematician, a computer scientist, or just a curious mind, understanding these sequences can open up new ways of thinking about patterns and relationships. Keep exploring, keep experimenting, and you might just discover something amazing!