Understanding Pseudoreplication And Related Scientific Terms

V.Orbital 84 views
Understanding Pseudoreplication And Related Scientific Terms

Decoding Pseudoreplication and Key Scientific Terms

Hey science enthusiasts! Ever stumbled upon some head-scratching terms while diving into scientific literature? Don’t sweat it; we’ve all been there! This article breaks down some of those complex words, starting with pseudoreplication and moving on to other fascinating concepts. Get ready to boost your understanding of the scientific world! We’ll tackle these topics in a way that’s easy to digest, so you can confidently navigate those research papers and impress your friends with your newfound knowledge. Let’s get started, shall we?

Demystifying Pseudoreplication: What’s the Deal?

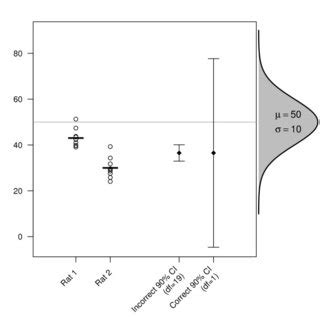
So, pseudoreplication – what’s the buzz around this term? In simple terms, it’s a methodological pitfall in research where you treat your data points as if they’re independent when they’re actually not. Think of it like this: You’re trying to figure out if two different types of plant fertilizer make a difference in plant growth. You set up several pots for each fertilizer type. But, if you only have one large bag of fertilizer for each type and mix it all together, then use it on multiple pots, your pots aren’t truly independent. They’re all getting the same batch of fertilizer. If all of your plants in a specific group grow better, is it because of the fertilizer or another factor? The pots are related, the observations aren’t independent, and you’ve got pseudoreplication on your hands. This can lead to misleading results, as your statistical tests might suggest a significant difference where none actually exists. It’s like accidentally inflating your sample size, leading to false conclusions! Understanding this is super important because it directly impacts the reliability and validity of scientific studies.

Now, why is this a big deal? Well, in science, we’re all about drawing accurate conclusions. Pseudoreplication can make us think we’ve found a groundbreaking discovery when, in reality, it’s just a statistical illusion. This can lead to wasted resources, incorrect management decisions (in fields like ecology), and a general misunderstanding of the world around us. Imagine using flawed research on plant fertilizers and then applying it to a large scale farm! If they are not independent of one another, the experiment can mislead you. To avoid this, researchers must design their experiments carefully, ensuring that each data point truly represents an independent observation. This might mean using multiple bags of fertilizer, planting them in completely different geographic regions, or carefully controlling any variables that could introduce dependencies. The bottom line: If the experimental units aren’t independent, your conclusions might be based on a house of cards! Researchers are trained to be aware of pseudoreplication and design studies that avoid it. This is crucial for making sure that research is reliable and that scientific discoveries are built on a solid foundation.


Exploring Sesquioxidases and Their Functions

Next up, we have sesquioxidases . These are a group of enzymes involved in various biological processes, often related to oxidation reactions. In other words, they help speed up chemical reactions where one substance loses electrons (oxidation). Sesquioxidases are often involved in detoxifying harmful substances or breaking down complex molecules. Think of them as tiny biological helpers, making essential processes happen within cells and organisms. They are like the janitors of the cell, cleaning up the mess and ensuring everything runs smoothly. These enzymes are present in various organisms, including plants and microorganisms, each with its specific set of sesquioxidases that perform specialized functions.

One of the fascinating aspects of sesquioxidases is their role in stress response. For example, some sesquioxidases in plants are activated when the plant is under stress, such as when it’s exposed to high temperatures or drought conditions. These enzymes then help the plant to cope with the stress by breaking down or modifying stress-inducing molecules. This mechanism contributes to the plant’s resilience, helping it survive in challenging environments. The study of sesquioxidases is an active area of research, with scientists constantly uncovering new functions and details about how they work. Understanding these enzymes can have implications for agriculture, medicine, and environmental science. For instance, knowing how sesquioxidases function can help develop more resilient crops or design new ways to break down pollutants in the environment.

Sesquioxidases are vital for maintaining cellular health and responding to environmental challenges. They perform critical functions in various organisms, making them a significant area of study. Understanding sesquioxidases is important in a wide range of scientific fields.


Seratrodast: A Closer Look at This Medication

Let’s move on to seratrodast , a medication used to treat asthma. This drug works by blocking certain substances in the body that cause the airways to narrow and become inflamed. For people with asthma, seratrodast helps open up the airways, making it easier to breathe. In essence, seratrodast is a lifesaver for many people by helping to control asthma symptoms. It reduces the frequency and severity of asthma attacks, improving the quality of life for those affected. Seratrodast is often taken regularly as a preventative measure. This helps keep the airways open and reduce inflammation, which can lower the chances of an asthma attack. It’s like a shield for the lungs, protecting them from triggers that might otherwise cause trouble.

Like all medications, seratrodast can have side effects. These can range from mild to more serious and can vary from person to person. Common side effects can include headaches, stomach upset, or throat irritation. It is very important to talk to your doctor about possible side effects and any concerns you might have. Your doctor can help you understand the risks and benefits of the medication and ensure that it is the right choice for you. Before you start seratrodast, or any medication, consult with a healthcare professional to ensure it is appropriate for your specific health conditions. Always follow the instructions provided by your doctor or pharmacist. This will help you get the maximum benefit from the medication while minimizing the risk of side effects. If you experience any severe side effects, seek medical help immediately. Your health and safety are always the top priority. Seratrodast can be an important tool in the management of asthma, improving the quality of life for many individuals. Proper medical guidance is essential.


Now, let’s touch upon some related terms:

  • Pseudospiral : This term is commonly used in biology. It is used to describe a structure or arrangement that appears to be a spiral but isn’t actually following a true, mathematical spiral pattern. Think of it like a visual illusion; it looks like a spiral, but upon closer examination, the arrangement is slightly different. This can be seen in the growth patterns of some plants or the arrangement of certain biological structures. Understanding the term is helpful when describing patterns in nature. The term indicates that the structure has a visual resemblance to a spiral, but there may not be a precise mathematical basis. This can be particularly useful when comparing biological structures or describing complex shapes in a non-mathematical manner.

  • Sesamoid : This term refers to small, often round bones embedded in tendons. These bones, like the patella (kneecap), help tendons glide smoothly over joints. The sesamoid bones enhance the mechanical advantage of muscles, making movements more efficient. Sesamoid bones can be found in various locations in the body. They contribute to mobility and protect tendons from excessive stress. Their location near joints helps them distribute forces and reduce friction during movement. This enhances the effectiveness and durability of tendons and joints.

  • Sesamum : This is a genus of flowering plants. Sesamum is best known for producing sesame seeds, a common ingredient in many cuisines. Sesame seeds are a significant source of nutrition and are widely used for oil production. The genus includes various species, each with unique characteristics and uses. Sesamum plants are cultivated for their seeds and are essential to agriculture in many parts of the world. Understanding the diversity within the Sesamum genus allows for agricultural improvements and efficient resource utilization.

  • Setiferous : This term describes something that bears bristles or hairs. It’s often used in biology to describe plants, animals, or other organisms that have a covering of fine hairs or bristles. This feature serves various functions, such as aiding in pollination, providing protection, or helping with sensory perception. Knowing if something is setiferous can be an important detail when describing or classifying different species. It’s particularly relevant when studying the anatomy or physiology of living organisms. These hair-like structures or bristles are important for a variety of ecological roles.

  • Sexed : This term is used in the context of determining the sex of an animal. This can be achieved through various methods, such as visual inspection, genetic testing, or behavioral observations. Accurate sexing is essential in animal breeding, conservation efforts, and scientific research. It helps in the effective management of animal populations. The practice of sexing animals has many different practical uses. Determining the sex is helpful in various biological research endeavors.

  • Sextant : This is a navigational instrument used to measure the angle between two points, typically the horizon and a celestial body, like the sun or a star. It’s an important tool for determining one’s position on Earth, especially at sea. The sextant was crucial for navigation before the advent of modern technologies like GPS. While not as commonly used today, sextants remain an important symbol of maritime history and the art of navigation. Sextants offer an important example of technological evolution. They were essential tools for early explorers and navigators, and they are still important in demonstrating the principles of celestial navigation.

  • Sexual : This term relates to activities or processes involved in reproduction. It involves the combination of genetic material from two parents. It is a fundamental aspect of life for many species and is the driving force behind the diversity of life on Earth. Understanding the concepts and mechanisms related to sexual reproduction is a core aspect of biology. It helps in understanding inheritance, evolution, and the role of genes. Sexual reproduction drives diversity and resilience in biological systems.


Conclusion: Keeping Up with Science

So there you have it, guys! A quick dive into some scientific terms that often pop up in research and everyday discussions. Keep in mind that science is a constantly evolving field, and there’s always something new to learn. Understanding these terms will help you stay informed and participate more effectively in scientific discussions. Keep exploring, keep questioning, and never stop being curious! Until next time, happy learning! If you’re interested in more deep dives, let me know. I hope this guide helps you to understand pseudoreplication and other scientific terms. There is much more to uncover.